Official Sensor Examples¶
This page shows the bundled cross-sensor example runtime built from official relative spectral response sources for Terra MODIS, Sentinel-2A MSI, Landsat 8 OLI, and Landsat 9 OLI.
It uses four held-out class targets drawn from the previously composed full
SIAC library: one vegetation spectrum, one soil spectrum, one water spectrum,
and one urban spectrum. Those targets are simulated to each source sensor. For
each query, the examples exclude only the matching prepared row_id, leaving
the rest of the external full library available.
Related pages:
Official Sources¶
| Sensor | Official source | Repository subset |
|---|---|---|
| Terra MODIS | NASA MCST Terra_RSR_in-band.xlsx | examples/official_mapping/srfs/terra_modis.json |
| Sentinel-2A MSI | ESA Copernicus COPE-GSEG-EOPG-TN-15-0007 - Sentinel-2 Spectral Response Functions 2024 - 4.0.xlsx | examples/official_mapping/srfs/sentinel-2a_msi.json |
| Landsat 8 OLI | USGS Spectral Characteristics Viewer band JSON | examples/official_mapping/srfs/landsat-8_oli.json |
| Landsat 9 OLI | USGS Spectral Characteristics Viewer band JSON | examples/official_mapping/srfs/landsat-9_oli2.json |
The reduced JSON files and derived figures were regenerated from the official
upstream assets on 2026-04-07 UTC. Provenance, download timestamps,
and SHA-256 hashes are stored in
examples/official_mapping/official_source_manifest.json.
Recorded upstream artifacts for this commit:
- Terra MODIS:
Terra_RSR_in-band.xlsxSHA-256f14498183f9258ed691999313a13fc425edb2eb2d89ca676f79abbb6f48ad637 - Sentinel-2A MSI:
Sentinel-2_Spectral_Response_Functions_2024_4.0.xlsxSHA-2561a9edc27d692a570911a460d589f188da0fc3e27f0b0bd1ad322059c380519b0 - Landsat 8 OLI:
7official band JSON files recorded inexamples/official_mapping/official_source_manifest.json - Landsat 9 OLI:
7official band JSON files recorded inexamples/official_mapping/official_source_manifest.json
What The Example Demonstrates¶
- held-out reconstruction on exact full-library spectra rather than synthetic mixtures
- target-sensor mapping between MODIS, Sentinel-2A, Landsat 8, and Landsat 9
- batch mapping from one CSV input
- full-spectrum reconstruction over
400-2500 nm - provenance tracking for official SRF inputs
Held-Out Target Design¶
| Sample id | Class | Source | Prepared row id |
|---|---|---|---|
blue_spruce_needles |
vegetation |
USGS Spectral Library v7 | usgs_v7:usgs_v7_002183:Blue_Spruce DW92-5 needles BECKa AREF |
pale_brown_silty_loam |
soil |
ECOSTRESS Spectral Library v1.0 | ecostress_v1:ecostress_v1_002334:Pale brown silty loam |
tap_water |
water |
ECOSTRESS Spectral Library v1.0 | ecostress_v1:ecostress_v1_003451:Tap water |
asphalt_road |
urban |
USGS Spectral Library v7 | usgs_v7:usgs_v7_000004:Asphalt GDS376 Blck_Road old ASDFRa AREF |
The retrieval library itself is not vendored under examples/official_mapping
because it contains 77,125 rows. Instead, the committed bundle
records the expected external SIAC root and the exact held-out rows in
examples/official_mapping/official_source_manifest.json.
Current full-library landcover counts:
soil:60,905rowsunlabeled:5,932rowsurban:1,474rowsvegetation:8,723rowswater:91rows
Each example command excludes only its own query spectrum:
- single-sample runs use
--exclude-row-id <row_id> - the batch input file carries an
exclude_row_idcolumn, one exact row id per query
That keeps the other held-out targets available as neighbors while still preventing self-matches.
All generated outputs on this page use k = 10 with
--neighbor-estimator simplex_mixture.
The overlay figure below plots the top 5 neighbors from
each segment’s k = 10 retrieval for readability.
Band Correspondence¶
| Semantic band | Terra MODIS | Sentinel-2A MSI | Landsat 8 OLI | Landsat 9 OLI |
|---|---|---|---|---|
ultra_blue |
not present | B1 |
Band 1 |
Band 1 |
blue |
Band 3 |
B2 |
Band 2 |
Band 2 |
green |
Band 4 |
B3 |
Band 3 |
Band 3 |
red |
Band 1 |
B4 |
Band 4 |
Band 4 |
nir |
Band 2 |
B08 |
Band 5 |
Band 5 |
swir1 |
Band 6 |
B11 |
Band 6 |
Band 6 |
swir2 |
Band 7 |
B12 |
Band 7 |
Band 7 |
Sentinel-2 is represented here by the S2A sheet from the official ESA SRF
workbook. If you need S2B or S2C, the same conversion script can be pointed
at the corresponding official sheet.
Rebuild The Example Bundle¶
Regenerate the sensor JSON, example queries, results, and plot assets:
python3 -m pip install ".[internal-build]"
python3 scripts/build_official_mapping_examples.py --siac-root build/siac_spectral_library_real_full_raw_no_ghisacasia_no_understory_no_santa37
That script downloads the official source assets, writes the reduced sensor
schemas into examples/official_mapping/srfs, rebuilds the example queries and
outputs against the external full SIAC library, refreshes the figures in
docs/assets, and rewrites this page from the generated outputs. It requires
network access for the upstream SRF files and expects the full SIAC library to
already exist at build/siac_spectral_library_real_full_raw_no_ghisacasia_no_understory_no_santa37 or at the path passed by --siac-root.
Prepare The Runtime¶
Use the previously composed full SIAC library and the official-source SRF JSONs:
spectral-library build-mapping-library \
--siac-root build/siac_spectral_library_real_full_raw_no_ghisacasia_no_understory_no_santa37 \
--srf-root examples/official_mapping/srfs \
--source-sensor terra_modis \
--source-sensor sentinel-2a_msi \
--source-sensor landsat-8_oli \
--source-sensor landsat-9_oli2 \
--output-root build/official_mapping_runtime
Validate the prepared runtime:
spectral-library validate-prepared-library \
--prepared-root build/official_mapping_runtime
Visual Comparison¶
Selected official band responses used by the example runtime:

Mean absolute target-band error across the four held-out class targets,
evaluated only on the common comparable subset
blue, green, red, nir, swir1, swir2:

Observed range in the bundled example:
- lowest comparable mean absolute band error:
0.0016for Landsat 9 -> Landsat 8 - highest comparable mean absolute band error:
0.0028for MODIS Terra -> Sentinel-2A - pairwise metrics on this page were generated with
neighbor_estimator = simplex_mixture
The full pairwise summary, including evaluated_band_ids and
evaluated_band_count, is in
examples/official_mapping/results/metrics/pairwise_band_metrics.csv.
Held-Out Estimator Comparison¶
The full-library held-out benchmark compares mean,
distance_weighted_mean, and simplex_mixture on the four exact public
targets across all 12 ordered source-target pairs.

- best aggregate held-out mean absolute error:
0.0021withsimplex_mixture - best Landsat 8 ->
Sentinel-2A held-out mean absolute error:
0.0018withsimplex_mixture
Reference benchmark files:
examples/official_mapping/results/metrics/neighbor_estimator_holdout_comparison.csvexamples/official_mapping/results/metrics/neighbor_estimator_holdout_comparison.json
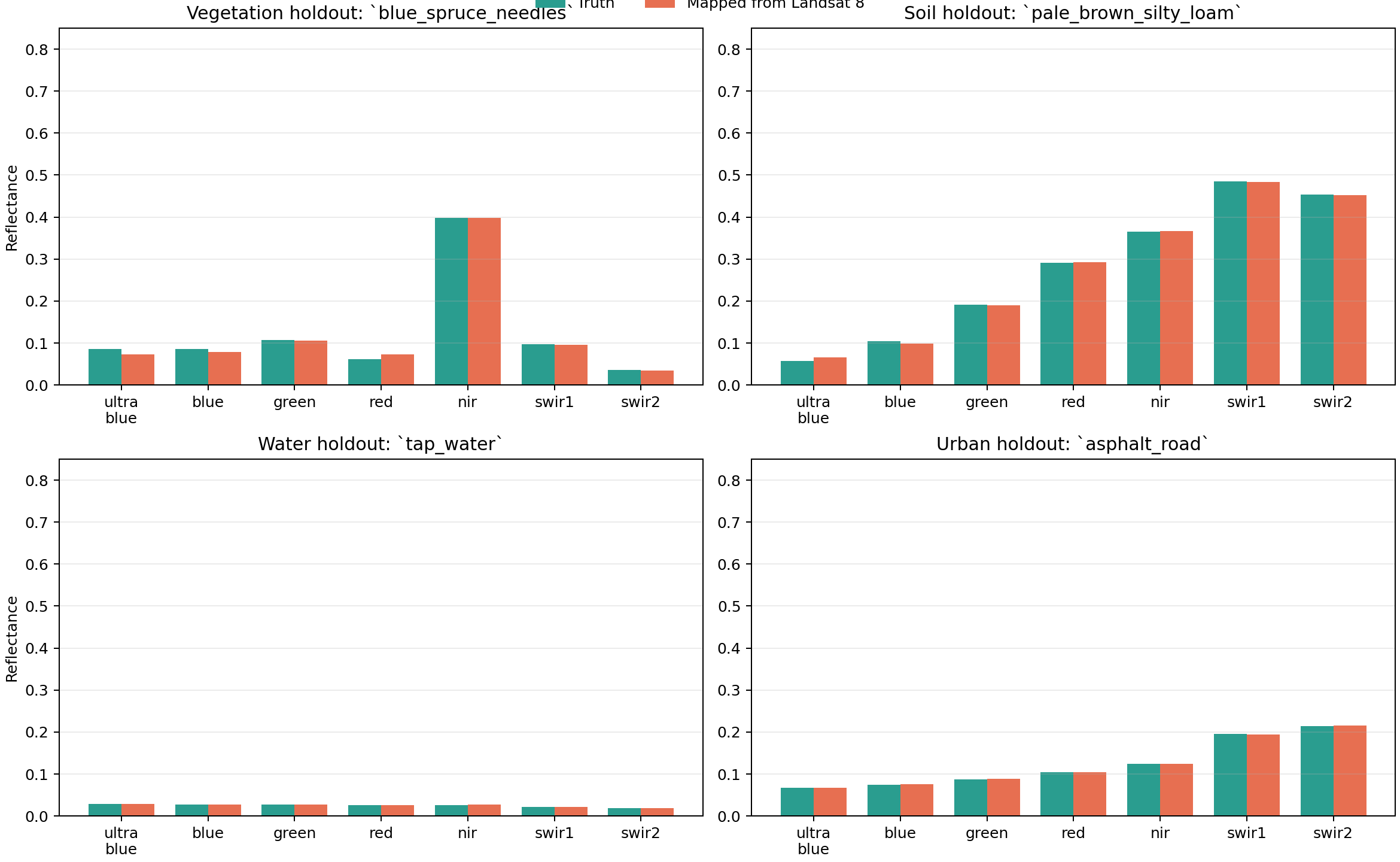
Held-out Landsat 8 to Sentinel-2A batch comparison across vegetation, soil, water, and urban targets:

Neighbor Overlay Diagnostic¶
The figure below shows the two retrievals independently for each held-out Landsat 8 query:
- left panel: the visible-to-NIR retrieval over
400-1000 nm - right panel: the NIR-to-SWIR retrieval over
800-2500 nm
Even when the input query includes all Landsat 8 reflective bands, the runtime does not do one joint KNN search across the entire source vector. It always builds two query vectors, retrieves neighbors independently for each segment, and only then combines the reconstructed segments into the final full-spectrum product.
Each panel overlays:
- the held-out hyperspectral query spectrum
- the segment-specific Landsat 8 query inputs used in that retrieval
- the top
5weighted neighbors from the segment’sk = 10shortlist on the full library, labeled with source-space distance and estimator weight
This makes one important behavior explicit: KNN is query-centric within each
segment. It ranks candidates by distance to that segment’s query features, but
it does not require the neighbors to be mutually similar or to share the same
landcover label. The simplex_mixture estimator then reweights that shortlist
to fit the query within the convex hull of the retrieved source-band vectors.

The table below is generated directly from the committed batch diagnostics JSON. It shows the top weighted neighbors used by the estimator for each sample and segment, together with their source-space distance, simplex weight, and the actual source-band values seen by the fit.
| Sample | Segment | Rank | Neighbor | Distance | Weight | Source-fit RMSE | Query values | Neighbor source-band values |
|---|---|---|---|---|---|---|---|---|
asphalt_road |
vnir |
7 |
97af3e28ab09ed3d3c8db9bb439c6a3c |
0.0037 |
0.1748 |
0.0005 |
ultra_blue=0.0677, blue=0.0731, green=0.0883, red=0.1032, nir=0.1266 |
ultra_blue=0.0710, blue=0.0762, green=0.0920, red=0.1036, nir=0.1207 |
asphalt_road |
vnir |
2 |
c4c49468f582c78ff5c03fa1c02730f3 |
0.0024 |
0.1603 |
0.0005 |
ultra_blue=0.0677, blue=0.0731, green=0.0883, red=0.1032, nir=0.1266 |
ultra_blue=0.0712, blue=0.0759, green=0.0865, red=0.1008, nir=0.1267 |
asphalt_road |
vnir |
5 |
383c7e9a0de21df7e84c68c6b12b9444 |
0.0034 |
0.1518 |
0.0005 |
ultra_blue=0.0677, blue=0.0731, green=0.0883, red=0.1032, nir=0.1266 |
ultra_blue=0.0617, blue=0.0713, green=0.0889, red=0.1071, nir=0.1250 |
asphalt_road |
swir |
1 |
31582 |
0.0016 |
0.1976 |
0.0021 |
nir=0.1266, swir1=0.1951, swir2=0.2139 |
nir=0.1292, swir1=0.1945, swir2=0.2132 |
asphalt_road |
swir |
9 |
11229 |
0.0045 |
0.1672 |
0.0021 |
nir=0.1266, swir1=0.1951, swir2=0.2139 |
nir=0.1245, swir1=0.1933, swir2=0.2211 |
asphalt_road |
swir |
5 |
5858 |
0.0039 |
0.1558 |
0.0021 |
nir=0.1266, swir1=0.1951, swir2=0.2139 |
nir=0.1328, swir1=0.1955, swir2=0.2113 |
blue_spruce_needles |
vnir |
6 |
Cedrus atlantica 'glauca' |
0.0116 |
0.3705 |
0.0078 |
ultra_blue=0.0857, blue=0.0836, green=0.1036, red=0.0656, nir=0.3978 |
ultra_blue=0.0703, blue=0.0722, green=0.0932, red=0.0690, nir=0.3843 |
blue_spruce_needles |
vnir |
1 |
Quercus agrifolia 2 |
0.0087 |
0.3108 |
0.0078 |
ultra_blue=0.0857, blue=0.0836, green=0.1036, red=0.0656, nir=0.3978 |
ultra_blue=0.0761, blue=0.0781, green=0.1075, red=0.0796, nir=0.4046 |
blue_spruce_needles |
vnir |
2 |
Quercus douglasii 1 |
0.0092 |
0.2608 |
0.0078 |
ultra_blue=0.0857, blue=0.0836, green=0.1036, red=0.0656, nir=0.3978 |
ultra_blue=0.0736, blue=0.0773, green=0.1100, red=0.0758, nir=0.4073 |
blue_spruce_needles |
swir |
2 |
Sanionia_uncinata_A_04223_O_(2) |
0.0062 |
0.3057 |
0.0016 |
nir=0.3978, swir1=0.0956, swir2=0.0350 |
nir=0.3872, swir1=0.0944, swir2=0.0334 |
blue_spruce_needles |
swir |
5 |
spectrum_00124 |
0.0088 |
0.1608 |
0.0016 |
nir=0.3978, swir1=0.0956, swir2=0.0350 |
nir=0.4125, swir1=0.0990, swir2=0.0332 |
blue_spruce_needles |
swir |
6 |
spectrum_00124 |
0.0088 |
0.1608 |
0.0016 |
nir=0.3978, swir1=0.0956, swir2=0.0350 |
nir=0.4125, swir1=0.0990, swir2=0.0332 |
pale_brown_silty_loam |
vnir |
8 |
Light yellowish brown interior dry gravelly loam |
0.0091 |
0.3583 |
0.0044 |
ultra_blue=0.0581, blue=0.0937, green=0.1935, red=0.2837, nir=0.3678 |
ultra_blue=0.0644, blue=0.0977, green=0.1983, red=0.2854, nir=0.3496 |
pale_brown_silty_loam |
vnir |
9 |
14211 |
0.0094 |
0.2478 |
0.0044 |
ultra_blue=0.0581, blue=0.0937, green=0.1935, red=0.2837, nir=0.3678 |
ultra_blue=0.0657, blue=0.0842, green=0.1822, red=0.2767, nir=0.3786 |
pale_brown_silty_loam |
vnir |
7 |
32008 |
0.0090 |
0.0904 |
0.0044 |
ultra_blue=0.0581, blue=0.0937, green=0.1935, red=0.2837, nir=0.3678 |
ultra_blue=0.0624, blue=0.0782, green=0.1921, red=0.2949, nir=0.3718 |
pale_brown_silty_loam |
swir |
10 |
c392259d6061f110d909ff435e274a40 |
0.0038 |
0.1057 |
0.0008 |
nir=0.3678, swir1=0.4842, swir2=0.4543 |
nir=0.3641, swir1=0.4877, swir2=0.4502 |
pale_brown_silty_loam |
swir |
6 |
0e347adeef3059d8cab3b4f0f76c4aac |
0.0025 |
0.1032 |
0.0008 |
nir=0.3678, swir1=0.4842, swir2=0.4543 |
nir=0.3691, swir1=0.4822, swir2=0.4579 |
pale_brown_silty_loam |
swir |
2 |
add86a660a132842387502538fcedcc3 |
0.0015 |
0.1023 |
0.0008 |
nir=0.3678, swir1=0.4842, swir2=0.4543 |
nir=0.3693, swir1=0.4833, swir2=0.4562 |
tap_water |
vnir |
7 |
Chalcocite Cu_2S |
0.0031 |
0.2094 |
0.0001 |
ultra_blue=0.0286, blue=0.0279, green=0.0270, red=0.0265, nir=0.0262 |
ultra_blue=0.0338, blue=0.0313, green=0.0286, red=0.0280, nir=0.0239 |
tap_water |
vnir |
5 |
Asphalt_Tar GDS346 Blck_Roof ASDFRa AREF |
0.0022 |
0.1587 |
0.0001 |
ultra_blue=0.0286, blue=0.0279, green=0.0270, red=0.0265, nir=0.0262 |
ultra_blue=0.0257, blue=0.0255, green=0.0252, red=0.0248, nir=0.0241 |
tap_water |
vnir |
3 |
Tourmaline Na(Mg_3,Fe_3^2+)Al_6(BO_3)_3Si_6O_18(OH)_4 |
0.0017 |
0.1556 |
0.0001 |
ultra_blue=0.0286, blue=0.0279, green=0.0270, red=0.0265, nir=0.0262 |
ultra_blue=0.0314, blue=0.0300, green=0.0283, red=0.0268, nir=0.0259 |
tap_water |
swir |
3 |
fscemm.022- |
0.0045 |
0.5008 |
0.0004 |
nir=0.0262, swir1=0.0210, swir2=0.0189 |
nir=0.0284, swir1=0.0191, swir2=0.0117 |
tap_water |
swir |
5 |
bb5be61fb0a1a30e74858cc20ee389e9 |
0.0045 |
0.4992 |
0.0004 |
nir=0.0262, swir1=0.0210, swir2=0.0189 |
nir=0.0230, swir1=0.0237, swir2=0.0255 |
tap_water |
swir |
1 |
Seawater_Coast_Chl SW1 BECKa AREF |
0.0042 |
0.0000 |
0.0004 |
nir=0.0262, swir1=0.0210, swir2=0.0189 |
nir=0.0198, swir1=0.0186, swir2=0.0163 |
Single-Sample Mapping Runs¶
MODIS Terra to Sentinel-2A on the vegetation holdout:
spectral-library map-reflectance \
--prepared-root build/official_mapping_runtime \
--source-sensor terra_modis \
--target-sensor sentinel-2a_msi \
--input examples/official_mapping/queries/single/blue_spruce_needles_terra_modis.csv \
--output-mode target_sensor \
--neighbor-estimator simplex_mixture \
--exclude-row-id 'usgs_v7:usgs_v7_002183:Blue_Spruce DW92-5 needles BECKa AREF' \
--output build/official_mapping_runtime/blue_spruce_needles_modis_to_sentinel2a.csv
Reference output:
examples/official_mapping/results/selected/blue_spruce_needles_modis_to_sentinel2a.csv
| Band | Truth | Mapped |
|---|---|---|
ultra_blue |
0.0856 |
0.0721 |
blue |
0.0858 |
0.0778 |
green |
0.1065 |
0.1066 |
red |
0.0621 |
0.0722 |
nir |
0.3979 |
0.3978 |
swir1 |
0.0971 |
0.0954 |
swir2 |
0.0356 |
0.0331 |
The ultra_blue band is shown in the example table because it is a real target
output for Sentinel-2A, but it is intentionally excluded from the pairwise
heatmap so every source-target cell is scored on the same comparable six-band
subset.
Sentinel-2A to Landsat 9 on the soil holdout:
spectral-library map-reflectance \
--prepared-root build/official_mapping_runtime \
--source-sensor sentinel-2a_msi \
--target-sensor landsat-9_oli2 \
--input examples/official_mapping/queries/single/pale_brown_silty_loam_sentinel-2a_msi.csv \
--output-mode target_sensor \
--neighbor-estimator simplex_mixture \
--exclude-row-id 'ecostress_v1:ecostress_v1_002334:Pale brown silty loam' \
--output build/official_mapping_runtime/pale_brown_silty_loam_sentinel2a_to_landsat9.csv
Reference output:
examples/official_mapping/results/selected/pale_brown_silty_loam_sentinel2a_to_landsat9.csv
Landsat 8 to MODIS on the urban holdout:
spectral-library map-reflectance \
--prepared-root build/official_mapping_runtime \
--source-sensor landsat-8_oli \
--target-sensor terra_modis \
--input examples/official_mapping/queries/single/asphalt_road_landsat-8_oli.csv \
--output-mode target_sensor \
--neighbor-estimator simplex_mixture \
--exclude-row-id 'usgs_v7:usgs_v7_000004:Asphalt GDS376 Blck_Road old ASDFRa AREF' \
--output build/official_mapping_runtime/asphalt_road_landsat8_to_modis.csv
Reference output:
examples/official_mapping/results/selected/asphalt_road_landsat8_to_modis.csv
Batch Example¶
The bundled batch CSV uses Landsat 8 as the source sensor for the four held-out targets:
spectral-library map-reflectance-batch \
--prepared-root build/official_mapping_runtime \
--source-sensor landsat-8_oli \
--target-sensor sentinel-2a_msi \
--input examples/official_mapping/queries/batch/landsat8_holdout_batch.csv \
--output-mode target_sensor \
--neighbor-estimator simplex_mixture \
--output build/official_mapping_runtime/landsat8_to_sentinel2a_holdout_batch.csv \
--diagnostics-output build/official_mapping_runtime/landsat8_to_sentinel2a_holdout_batch_diagnostics.json \
--neighbor-review-output build/official_mapping_runtime/landsat8_to_sentinel2a_holdout_neighbor_review.csv
The batch input file
examples/official_mapping/queries/batch/landsat8_holdout_batch.csv
includes an exclude_row_id column, so each query removes only its own exact
prepared row from the shared full-library runtime.
Reference output:
examples/official_mapping/results/selected/landsat8_to_sentinel2a_holdout_batch.csv
Reference diagnostics:
examples/official_mapping/results/selected/landsat8_to_sentinel2a_holdout_batch_diagnostics.json
Reference neighbor review:
examples/official_mapping/results/selected/landsat8_to_sentinel2a_holdout_neighbor_review.csv
Full-Spectrum Reconstruction¶
Reconstruct the full 400-2500 nm spectrum from the water holdout:
spectral-library map-reflectance \
--prepared-root build/official_mapping_runtime \
--source-sensor sentinel-2a_msi \
--input examples/official_mapping/queries/single/tap_water_sentinel-2a_msi.csv \
--output-mode full_spectrum \
--neighbor-estimator simplex_mixture \
--exclude-row-id 'ecostress_v1:ecostress_v1_003451:Tap water' \
--output build/official_mapping_runtime/tap_water_sentinel2a_full_spectrum.csv
Reference output:
examples/official_mapping/results/selected/tap_water_sentinel2a_full_spectrum.csv